New Site Launched: Looking for oligos? Visit our new oligo and Stellaris dedicated platform at
oligos.biosearchtech.com
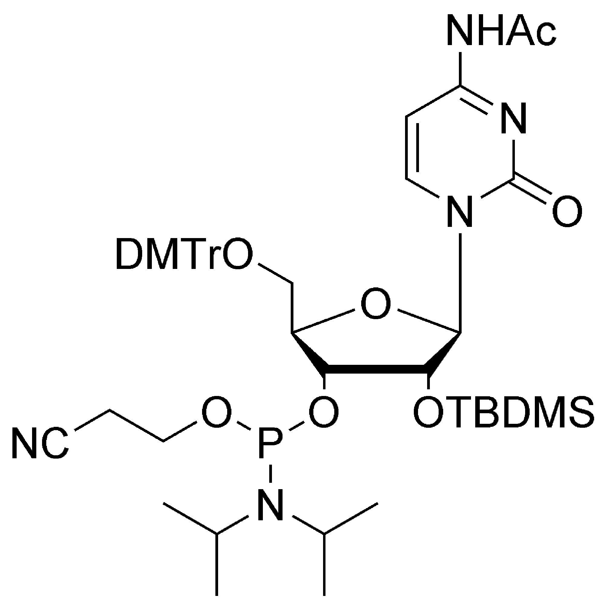
rC (Ac) CE-Phosphoramidite
You are currently seeing list prices, to see your prices please log in
rC (Ac) CE-Phosphoramidite
CAS No.:121058-88-6
Commonly used protected 2'-OTBDMS phosphoramidite for incorporation of ribo-C into a synthetic oligonucleotide.
Key features
Show- Stringent QC includes testing for synthesis coupling efficiency
- Available pre-packaged for common synthesizers
- 2'-OTBDMS protection compatible with classic RNA synthesis
Added to basket
Product information
Chemistry and protection strategies
DNA and RNA have very similar structures and differ only in the presence of the 2’-OH moiety in the latter, and that in RNA thymidine (T) is replaced with uridine (U). As such, the chemistries in terms of synthesis and deprotection of the oligonucleotides differ.
Several 2’-OH protection chemistries exist, however, to date, TBDMS chemistry remains the most widely accepted and utilised in RNA synthesis, particularly where the RNA is used in therapeutic applications.
Nucleobase protection options are similar to those of DNA, i.e. classic (Bz-A, Bz-C and iBu-dG), UltraMILD (phenoxyacetyl (Pac)-A, acetyl (Ac)-C, and iso-propylphenoxyacetyl (iPr-Pac)-G), or Fast utilising Ac-C, Bz-A and dimethylformamidine (dmf)-G.
Until recently, the synthesis of longer RNA oligos (~80mers) in reasonable yields was met with some difficulty due to the premature partial deprotection of the TBDMS group during the step to remove the nucleobase protection with ammonium hydroxide solution with heating. Reaction between the now free 2’-OH group and the 3’-phosphate resulted in either cleavage of the oligo at this point or rearrangement to 2’-phosphate and 3’-OH. The desilylation can be suppressed by the use of anhydrous ethanolic ammonia or ethanolic ammonium hydroxide.
However, the most significant improvement is with the use of AMA (aqueous ammonium hydroxide/methylamine 1:1) or ethanolic AMA in conjunction with the use of fast deprotection amidites which allows the nucleobases to be deprotected in 10 minutes at 65?C. The use of DMSO/ethanolic methylamine (1:1) has also been reported. It must be noted that the use of Bz-dC or Bz-C with AMA leads to transamidation with methylamine and these monomers are therefore not suited to this deprotection method.
Applicable Products
| LK2033 | dmf-G-CE Phosphoramidite |
| LK2036 | Bz-A-CE Phosphoramidite |
| LK2037 | Pac-A-CE Phosphoramidite |
| LK2038 | Ac-C-CE Phosphoramidite |
| LK2039 | iPr-Pac-G-CE Phosphoramidite |
| LK2040 | U-CE Phosphoramidite |
| LK2053 | Ac-G-CE Phosphoramidite |
| LK2091 | 5-Me-U-CE Phosphoramidite (ribo-T) |
| LK2295 | U-SynBase™ CPG 1000/110 |
| LK2309 | Ac-C-SynBase™ CPG 1000/110 |
| LK2318 | dmf-G-SynBase™ CPG 1000/110 |
| LK2319 | Pac-A-SynBase™ CPG 1000/110 |
| LK2320 | iPr-Pac-G-SynBase™ CPG 1000/110 |
| LK2321 | Bz-A-SynBase™ CPG 1000/110 |
Physical & Dilution Data
Dilution volumes (in ml) are for 0.1M solutions in dry acetonitrile (LK4050). Adjust accordingly for other concentrations. For µmol pack sizes, products should be diluted as 100µmol/ml to achieve 0.1M, regardless of molecular weight.
Item |
Mol. Formula |
Mol. Wt. |
Unit Wt. |
250mg |
500mg |
1g |
| LK2033 | C49H67N8O8PSi | 955.18 | 345.21 | 2.62 | 5.23 | 10.47 |
| LK2036 | C53H66N7O8PSi | 988.21 | 329.21 | 2.53 | 5.06 | 10.12 |
| LK2037 | C54H68N7O9PSi | 1018.23 | 329.21 | 2.46 | 4.91 | 9.82 |
| LK2038 | C47H64N5O9PSi | 902.11 | 305.18 | 2.77 | 5.54 | 11.09 |
| LK2039 | C57H74N7O10PSi | 1076.31 | 345.21 | 2.32 | 4.65 | 9.29 |
| LK2040 | C45H61N4O9PSi | 861.06 | 306.17 | 2.90 | 5.81 | 11.61 |
| LK2053 | C48H64N7O9PSi | 942.14 | 345.21 | 2.65 | 5.31 | 10.61 |
| LK2091 | C46H63N4O9PSi | 875.09 | 320.19 | 2.86 | 5.71 | 11.43 |
| LK2295 | - | - | 306.17 | - | - | - |
| LK2309 | - | - | 305.18 | - | - | - |
| LK2318 | - | - | 345.21 | - | - | - |
| LK2319 | - | - | 329.21 | - | - | - |
| LK2320 | - | - | 345.21 | - | - | - |
| LK2321 | - | - | 329.21 | - | - | - |
Coupling
The steric hindrance introduced by the additional 2’-protecting group reduces the coupling efficiency of the phosphoramidite, and is limited to >97% using tetrazole activator even with extended reaction times. When using 0.25M ETT (LK3140/LK3142), to optimise efficiency a 12min coupling time is recommended. It has been shown that this coupling time can be reduced to 3min when using 0.3M BTT as the activator (LK0234/LK3160/LK3162).
Cleavage & Deprotection
Removal of the base protecting groups, cleavage of the linkage to the support and removal of the ß-cyanoethyl groups are all achieved routinely with aqueous 20% NH3/methylamine (1:1). The cleavage is fast (10-30min) at 65°C. (Heating can be continued up to 1h, however prolonged treatment will cause gradual loss of TBDMS groups resulting in degradation.) The deprotection strategies used are dependent on the base-protection utilised. Bz-A (LK2036), dmf-G (LK2033), Ac-C (LK2038) and Ac-G (LK2053) can also be deprotected using AMA (1:1 ammonium hydroxide solution in aqueous methylamine) at 65°C for 10min, however it should be noted that the use of ethanol in the deprotection solution aids solubility for full RNA sequences. When synthesising RNA chimera, e.g. RNA/DNA or RNA/2’-OMe RNA, the C amidite cannot be Bz protected otherwise deprotection with AMA will result in transamidation.
Pac-A (LK2037), iPr-Pac-G (LK2039) and Ac-C (LK2038) can be deprotected using UltraMILD conditions such as 0.05M potassium carbonate in methanol at room temperature for 4h.
Desilylation
The desilylation procedure is the same for DMT ON and DMT OFF oligos. Suspend the residue in dry N-methyl pyrrolidone/Et3N/Et3N.3HF (6:3:4 v/v/v) and deprotect silyl groups for 2.5h at 65°C in a sealed sterile tube. Alternatively, DMSO (or DMF)/Et3N.3HF (3:1 v/v) can be used.
Detritylation & Purification
Retaining the DMTr group after oligonucleotide synthesis is advantageous to the purification of RNA. This allows failures with no 5’-DMTr protection to be easily removed from the crude mixture. Traditionally this was carried out by RP-HPLC where the full-length DMTr-protected oligonucleotide was collected then detritylated using 10% acetic acid at pH 3.5 (30-45min) then quenched with ammonium bicarbonate followed by desalting.
Today it is possible to carry out the purification by RP-HPLC which includes the detritylation step and the full-length detritylated product is collected. Also, cartridge purification - e.g. TOPS, PolyPak or GlenPak - allow fast processing of oligonucleotides where DMTr-oligos are loaded onto the column and the full-length detritylated product eluted. This is particularly useful in preventing cross contamination since a new column is used for each oligo. DMT-ON purification, although useful, does not remove the N-1 sequences where the DMTr protection is retained. In this case cartridge purification can be useful to remove all other failures prior to purification by IE-HPLC. The latter is also the recommended method for purification of RNA where the DMTr group has been removed, or where the sequence is longer (≥40 bases). The most commonly used IE columns for purifying RNA are Dionex DNA-PAC (100 or 200) columns although there are alternatives from Phenomenex and other suppliers.
Typical buffers are:
Anion-exchange HPLC—A: 20mM aqueous Tris-HCl pH 7.6 + 1mM EDTA + 10mM sodium perchlorate; B: As A with 600mM sodium perchlorate. This system may require alteration for longer oligos.
RP-HPLC—A: 95% 0.1M triethylammonium acetate (TEAA) + 5% acetonitrile; B: 95% acetonitrile + 5% water (or 5% 0.1M TEAA). Gradient of 0-50% B during 20min.
Much longer oligos are best synthesised DMT-OFF and purified by PAGE.
Storage & Stability
All solid phosphoramidites and RNA supports are stored dry in a freezer at –10 to –30°C. The phosphoramidites are stable in anhydrous acetonitrile solution for 24h (LK2091 can be stored for 2-3 days).
Unlike DNA, RNA is highly unstable in basic media and must not be exposed to high pH. Traces of heavy metal ions present in various salts used also lead to degradation. Buffers containing 1mM EDTA are used to prevent this.
RNA is very sensitive to degradation by nucleases. All glass (and plastic) used must be rinsed in water containing diethylpyrocarbonate (DEPC) (2%) and autoclaved before re-use. All reagents, water and consumables used in subsequent handling must be sterile and certified RNAse free. Anion-exchange and desalting columns should be stored in sterile water/acetonitrile (1:1), except Q-res type which should be stored in water/ethanol (4:1).
Do you need these to complete your set?
Select your options for rC (Ac) CE-Phosphoramidite to view items in this set
Access support
Need some support with placing an order, setting up an account, or finding the right protocol?
Contact us