Skip to content Skip to navigation menu
New Site Launched: Looking for oligos? Visit our new oligo and Stellaris dedicated platform at oligos.biosearchtech.com
Happy Holidays! View our holiday closures and shipping schedule. HOLIDAY SCHEDULE
 

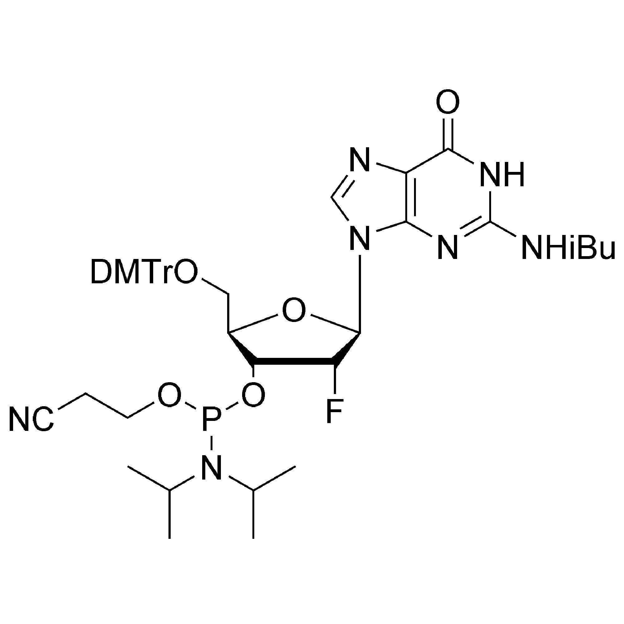
2'-F-G (iBu) CE-Phosphoramidite

2'-F-G (iBu) CE-Phosphoramidite

CAS No.:144089-97-4

Phosphoramidite for incorporation of a 2'-fluoro-modified ribo-G nucleobase within an oligonucleotide

Key features

Show Hide
  • High performance product for use on commercial oliognucleotide synthesizers.
  • Quality ensured by full QC testing.
  • Available packaged options for all common synthesizer instruments, and in bulk.
Option 1: Select a Size
Option 2: Select a Bottle Type
TBD
Add to basket to request a quote

Product information

2'-F-RNA oligonucleotides adopt an A-form helix on hybridisation to a target. Whereas a hydroxyl group of RNA is a hydrogen bond donor, fluorine appears to be a weak acceptor. These features of 2'-F-RNA oligonucleotides lead to certain interesting properties. For example, it was demonstrated that oligonucleotides hybridise to a RNA oligonucleotide in the following order of increasing stability: DNA < RNA < 2'-OMe-RNA < 2'-F-RNA. (1) Aptamers composed of 2'-F–RNA bind targets with higher affinities and are more resistant to nucleases, compared to RNA aptamers. (2) In addition, 2'-F-RNA can be effectively used in siRNA applications. It has been shown that siRNA synthesised with 2'-F pyrimidine nucleosides are more inhibitory, and show considerably increased stability in human plasma, compared to siRNA. (3) 2'-F-RNA is now finding a number of applications, especially in RNA interference for the specific silencing of genes in cells and in vivo. (4) We provide a range of 2'-F phosphoramidites and CPGs, with a variety of pore sizes and linkers consistent with our unmodified DNA and RNA CPG products. The protecting group strategies are compatible with the usual DNA and RNA chemistries.

Ref:

  1. Uniformly modified 2'-deoxy-2'-fluoro phosphorothioate oligonucleotides as nuclease-resistant antisense compounds with high affinity and specificity for RNA targets, A.M. Kawasaki, M.D. Casper, S.M. Freier, E.A. Lesnik, M.C. Zounes, L.L. Cummins, C. Gonzalez and P.D. Cook, J. Med. Chem., 36, 831-841, 1993.
  2. Neutralization of infectivity of diverse R5 clinical isolates of human immunodeficiency virus type 1 by gp120-binding 2'-F-RNA aptamers, M. Khati, M. Schüman, J. Ibrahim, Q. Sattentau, S. Gordon and W. James, J. Virology, 77, 12692-12698, 2003.
  3. In vivo activity of nuclease-resistant siRNAs, J.M. Layzer, A.P. McCaffrey, A.K. Tanner, Z. Huang, M.A. Kay and B.A. Sullenger, RNA, 10, 766-771, 2004.
  4. Molecular requirements for degradation of a modified sense RNA strand by Escherichia coli ribonuclease H1, D.R. Yazbeck, K.-L. Min and M.J. Damha, Nucleic Acids Research, 30, 3015-3025, 2002.

Access support

Need some support with placing an order, setting up an account, or finding the right protocol?

Contact us