Skip to content Skip to navigation menu
New Site Launched: Looking for oligos? Visit our new oligo and Stellaris dedicated platform at oligos.biosearchtech.com
Happy Holidays! View our holiday closures and shipping schedule. HOLIDAY SCHEDULE
 

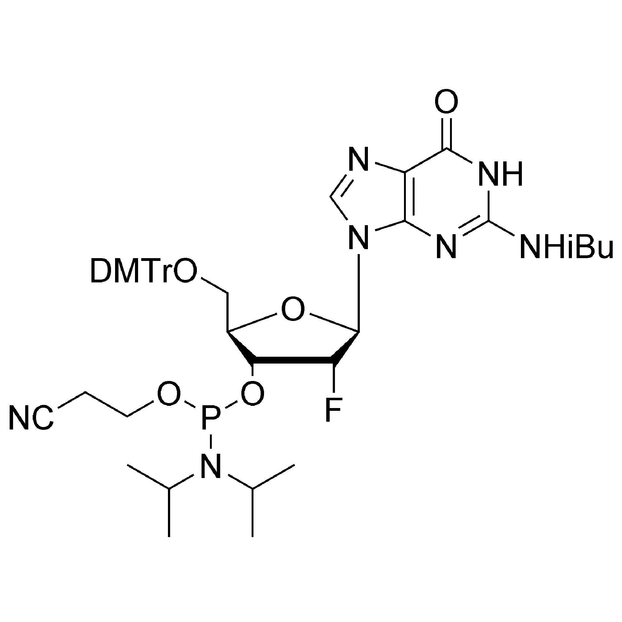
2'-F-G (iBu) CE-Phosphoramidite

2'-F-G (iBu) CE-Phosphoramidite

CAS No.:144089-97-4

Phosphoramidite for incorporation of a 2'-fluoro-modified ribo-G nucleobase within an oligonucleotide

Key features

Show Hide
  • Stringent QC includes testing for synthesis coupling efficiency
  • Available pre-packaged for common synthesizers
Option 1: Select a Size
Option 2: Select a Bottle Type
TBD
Add to basket to request a quote

Product information

2'-F-RNA oligonucleotides adopt an A-form helix on hybridisation to a target. Whereas a hydroxyl group of RNA is a hydrogen bond donor, fluorine appears to be a weak acceptor. These features of 2'-F-RNA oligonucleotides lead to certain interesting properties. For example, it was demonstrated that oligonucleotides hybridise to a RNA oligonucleotide in the following order of increasing stability: DNA < RNA < 2'-OMe-RNA < 2'-F-RNA. (1)

Aptamers composed of 2'-F–RNA bind targets with higher affinities and are more resistant to nucleases, compared to RNA aptamers. (2) In addition, 2'-F-RNA can be effectively used in siRNA applications. It has been shown that siRNA synthesised with 2'-F pyrimidine nucleosides are more inhibitory, and show considerably increased stability in human plasma, compared to siRNA. (3) 2'-F-RNA is now finding a number of applications, especially in RNA interference for the specific silencing of genes in cells and in vivo. (4)

We provide a range of 2'-F phosphoramidites and CPGs, with a variety of pore sizes and linkers consistent with our unmodified DNA and RNA CPG products. The protecting group strategies are compatible with the usual DNA and RNA chemistries.

Ref:

  1. Uniformly modified 2'-deoxy-2'-fluoro phosphorothioate oligonucleotides as nuclease-resistant antisense compounds with high affinity and specificity for RNA targets, A.M. Kawasaki, M.D. Casper, S.M. Freier, E.A. Lesnik, M.C. Zounes, L.L. Cummins, C. Gonzalez and P.D. Cook, J. Med. Chem., 36, 831-841, 1993.
  2. Neutralization of infectivity of diverse R5 clinical isolates of human immunodeficiency virus type 1 by gp120-binding 2'-F-RNA aptamers, M. Khati, M. Schüman, J. Ibrahim, Q. Sattentau, S. Gordon and W. James, J. Virology, 77, 12692-12698, 2003.
  3. In vivo activity of nuclease-resistant siRNAs, J.M. Layzer, A.P. McCaffrey, A.K. Tanner, Z. Huang, M.A. Kay and B.A. Sullenger, RNA, 10, 766-771, 2004.
  4. Molecular requirements for degradation of a modified sense RNA strand by Escherichia coli ribonuclease H1, D.R. Yazbeck, K.-L. Min and M.J. Damha, Nucleic Acids Research, 30, 3015-3025, 2002.

Applicable Products

LK2079 2'-F-Ac-dC-CE Phosphoramidite
LK2080 2'-F-dU-CE Phosphoramidite
LK2081 2'-F-Bz-A-CE Phosphoramidite
LK2082 2'-F-iBu-G-CE Phosphoramidite

Physical & Dilution Data

Dilution volumes (in ml) are for 0.1M solutions in dry acetonitrile (LK4050). Adjust accordingly for other concentrations. For µmol pack sizes, products should be diluted as 100µmol/ml to achieve 0.1M, regardless of molecular weight.

Item

Mol. Formula

Mol. Wt.

Unit Wt.

250mg

500mg

1g

LK2079 C41H49N5O8FP 789.84 307.18 3.17 6.33 12.66
LK2080 C39H46N4O8FP 748.79 308.16 3.34 6.68 13.35
LK2081 C47H51N7O7FP 875.93 331.20 2.85 5.71 11.42
LK2082 C44H53N7O8FP 857.91 347.19 2.91 5.83 11.66

Coupling

A 3min coupling time is recommended.

Cleavage & Deprotection

Use AMA for 2h at room temperature. Do not heat the oligos. It is necessary to use Fast (or UltraFast deprotection amidites for all other nucleoside incorporations.

Purification

Standard cartridge or RP-HPLC is generally used as a means of purification.

Storage & Stability

The solids are be stored in the freezer at –10 to –30°C. The dissolved amidites are stable in solution for 2-3 days..

A licence may be required from Isis Pharmaceuticals, Inc. to incorporate 2'-fluoro modified nucleosides into oligonucleotides as claimed in US Patent Numbers 5,670,633, 6,005,087, 6,531,584 and foreign equivalents.

Access support

Need some support with placing an order, setting up an account, or finding the right protocol?

Contact us